Классический форум-трекер
canvas not supported
Нас вместе: 4 258 759


Устойчивый к блокировкам VPN с высоким уровнем приватности

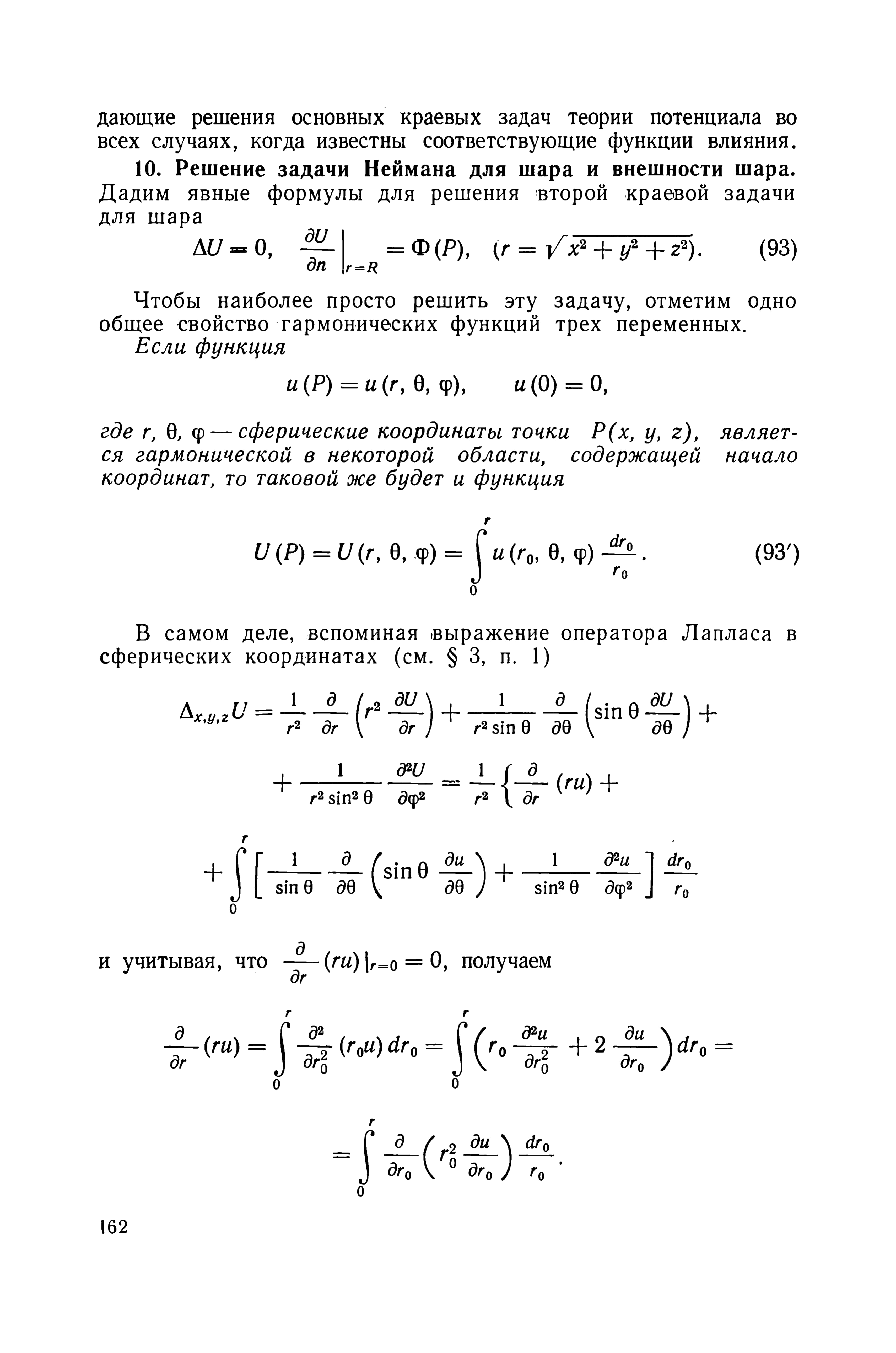
Г.Н. Положий | Уравнения математической физики (1964) [PDF]


 
 
RSS
Начать новую тему   Ответить на тему    Торрент-трекер NNM-Club -> Научная и техническая литература -> Учебники
Автор Сообщение
dark_elf2 ®
Релизер эксклюзива
Стаж: 17 лет 6 мес.
Сообщений: 3030
Ratio: 29.013
Поблагодарили: 281802
100%
ussr.gif
Г.Н. Положий | Уравнения математической физики (1964) [DJVU]
Автор: Г.Н. Положий
Издательство: Высшая школа
Жанр: Математика

Формат: PDF
Качество: Обработанный скан
Иллюстрации: Без иллюстраций

Описание:
Настоящая книга составлена в результате переработки и некоторого дополнения курса лекций по уравнениям математической физики, читанного автором на протяжении ряда лет на механико-математическом факультете Киевского государственного университета.
19.11.2024 - Скан заменён - теперь он лучшего качества
Скриншоты:


Время раздачи: 24/7 (минимум до появления первых 3-5 скачавших)
[NNMClub.to]_Uravneniya matematicheskoy fiziki (Polozhiy G.N. 1964).pdf.torrent
 Торрент: Платиновая раздача  Зарегистрирован
 
Скачать


Примагнититься
 Зарегистрирован:   19 Ноя 2024 06:31:29
 Размер:   30 MB  (
 Рейтинг:   4.8 (Голосов: 31)
 Поблагодарили:   171
 Проверка:   Оформление проверено модератором 19 Ноя 2024 07:52:13
Как cкачать  ·  Как раздать  ·  Правильно оформить  ·  Поднять ратио!  
Показать сообщения:   
Начать новую тему   Ответить на тему    Торрент-трекер NNM-Club -> Научная и техническая литература -> Учебники Часовой пояс: GMT + 3
Страница 1 из 1