Классический форум-трекер
canvas not supported
Нас вместе: 4 258 496


Устойчивый к блокировкам VPN с высоким уровнем приватности

И.Ф. Шарыгин | Факультативный курс по математике. Решение задач. 11 класс (1991) [DJVU]


 
 
RSS
Начать новую тему   Ответить на тему    Торрент-трекер NNM-Club -> Литература и прочие Обучающие материалы для детей и родителей -> Образование, обучение и развитие детей
Автор Сообщение
dark_elf2 ®
Релизер эксклюзива
Стаж: 17 лет 5 мес.
Сообщений: 3019
Ratio: 28.881
Поблагодарили: 280714
100%
ussr.gif
И.Ф. Шарыгин | Факультативный курс по математике. Решение задач. 11 класс (1991) [DJVU]
Автор: И.Ф. Шарыгин
Издательство: Просвещение
ISBN: 978-5-09-001288-1
Жанр: Математика

Формат: DJVU
Качество: Обработанный скан
Иллюстрации: Черно-белые

Описание:
Данная книга является продолжением вышедшего в 1989 г. аналогичного учебного пособия для 10 класса средней школы. Ее основная цель — подготовка учащихся к продолжению образования в высших учебных заведениях, повышение уровня общей математической подготовки. Факультатив строится как углубленное изучение вопросов, предусмотренных программой основного курса. Углубление реализуется на базе обучения методам и приемам решения математических задач.

Скриншоты:


Время раздачи: 24/7 (минимум до появления первых 3-5 скачавших)
[NNMClub.to]_SHaryigin I.F. Fakul'tativnyiy kurs po matematike. Reshenie zadach. 11 klass - 1991.djvu.torrent
 Торрент: Платиновая раздача  Зарегистрирован
 
Скачать


Примагнититься
 Зарегистрирован:   22 Июн 2025 15:34:53
 Размер:   4.25 MB  (
 Рейтинг:   4.7 (Голосов: 20)
 Поблагодарили:   103
 Проверка:   Оформление проверено модератором 22 Июн 2025 16:16:28
Как cкачать  ·  Как раздать  ·  Правильно оформить  ·  Поднять ратио!  
Показать сообщения:   
Начать новую тему   Ответить на тему    Торрент-трекер NNM-Club -> Литература и прочие Обучающие материалы для детей и родителей -> Образование, обучение и развитие детей Часовой пояс: GMT + 3
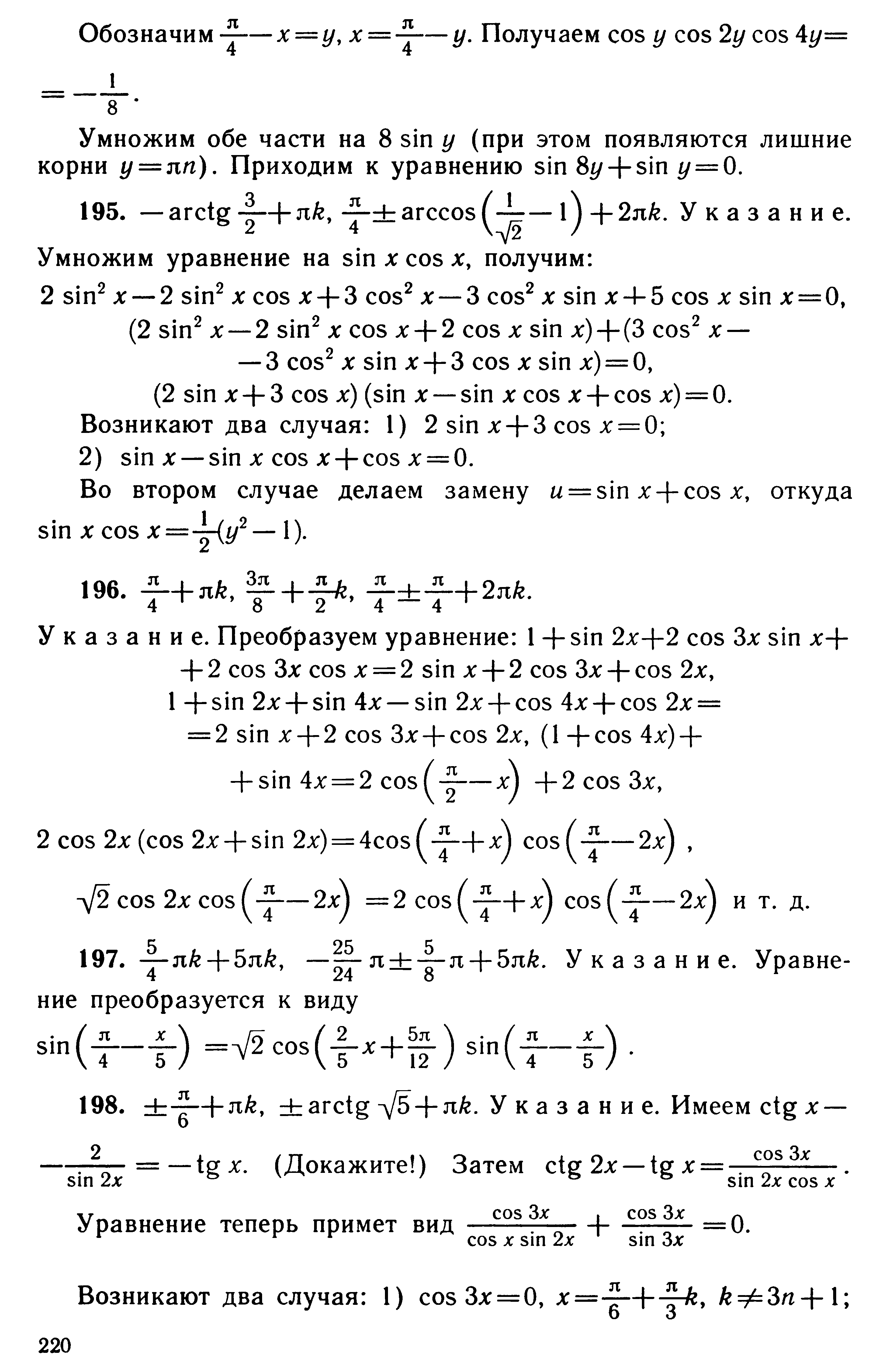
Страница 1 из 1