Классический форум-трекер
canvas not supported
Нас вместе: 4 262 205


Устойчивый к блокировкам VPN с высоким уровнем приватности

Натан Козыра, Мэтт Батчер, Мэтт Фарина | Go на практике. 2-е изд. (2026) [PDF]


 
 
RSS
Начать новую тему   Ответить на тему    Торрент-трекер NNM-Club -> Компьютерная литература
Автор Сообщение
sinoptik500 ®
Стаж: 9 лет 8 мес.
Сообщений: 6347
Ratio: 37.653
Поблагодарили: 359487
100%
Откуда: с рыбалки
Натан Козыра, Мэтт Батчер, Мэтт Фарина | Go на практике. 2-е изд. (2026) [PDF]
Автор: Натан Козыра, Мэтт Батчер, Мэтт Фарина
Издательство: Питер
Серия: Библиотека программиста
ISBN: 978-5-4461-4388-7
Жанр: Компьютерная литература, Веб-программирование, Язык Go

Формат: PDF
Качество: Изначально электронное (ebook)
Иллюстрации: Черно-белые

Описание:
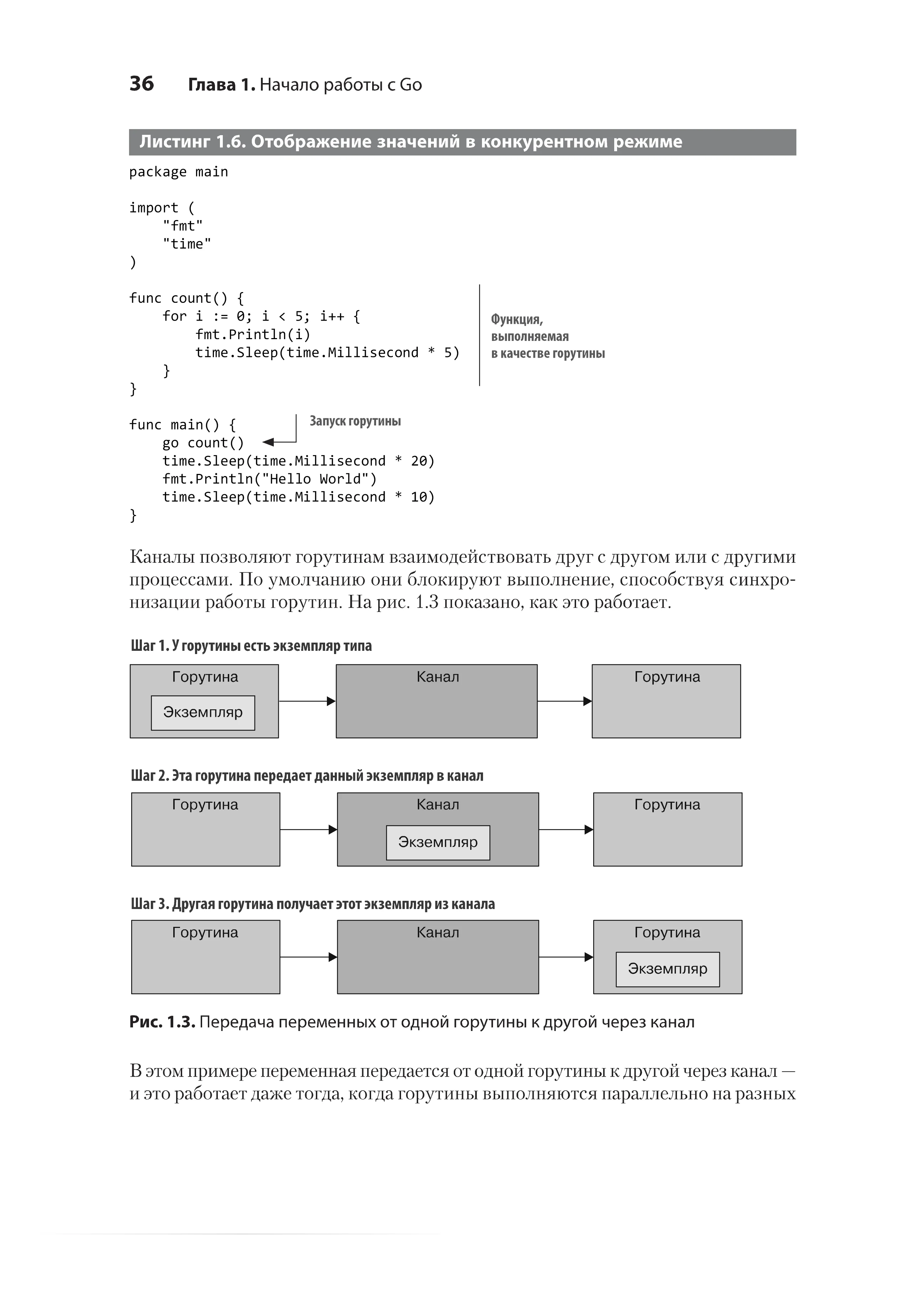
Итак, вы освоили азы Go, что дальше? Чтобы создавать надежные и готовые к использованию Go-приложения, вам нужно научиться реализовывать конкурентность, налаживать сетевые взаимодействия, получать доступ к файлам, использовать такие нативные протоколы передачи данных, как gRPC и TCP/REST, а также разбираться во множестве практических нюансов. В этой книге приводятся готовые решения, которые можно незамедлительно применить в повседневной работе. Здесь вы найдете описание десятков техник разработки и сопровождения Go-приложений в формате «проблема — решение — обсуждение». Издание охватывает новейшие возможности языка Go, включая дженерики, обработку паник и ошибок, современные модели конкурентности, а также такие продвинутые темы, как рефлексия и генерация кода. Кроме того, авторы дают по лезные советы по интеграции в ваш процесс разработки ИИ-инструментов.

Скриншоты:


Время раздачи: с 09:00 до 21:00 (минимум до появления первых 3-5 скачавших)
[NNMClub.to]_Kozyira N., Batcher M., Farina M. - Go na praktike, 2-e izd. (Biblioteka programmista) - 2026.pdf.torrent
 Торрент: Платиновая раздача  Зарегистрирован
 
Скачать


Примагнититься
 Зарегистрирован:   31 Янв 2026 19:02:16
 Размер:   31.2 MB  (
 Рейтинг:   5 (Голосов: 24)
 Поблагодарили:   145
 Проверка:   Оформление проверено модератором 01 Фев 2026 01:57:18
Как cкачать  ·  Как раздать  ·  Правильно оформить  ·  Поднять ратио!  
Показать сообщения:   
Начать новую тему   Ответить на тему    Торрент-трекер NNM-Club -> Компьютерная литература Часовой пояс: GMT + 3
Страница 1 из 1