Классический форум-трекер
canvas not supported
Нас вместе: 4 262 001


Устойчивый к блокировкам VPN с высоким уровнем приватности

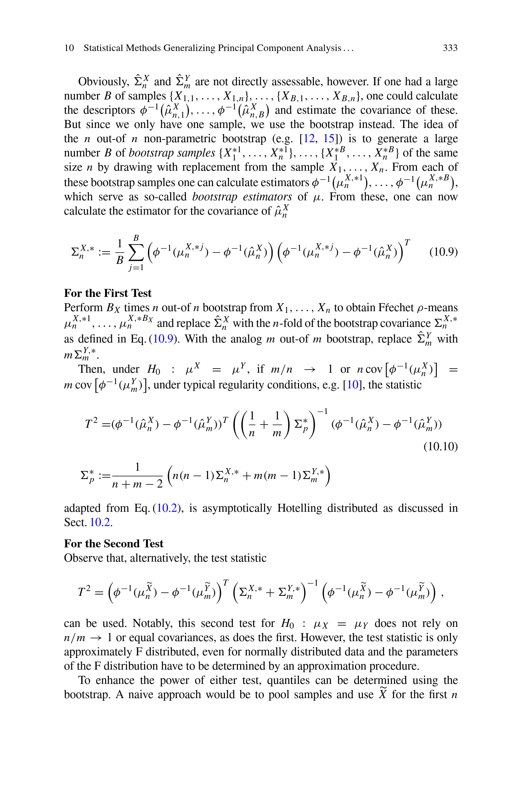
P. Grohs, M. Holler, A. Weinmann | Handbook of Variational Methods for Nonlinear Geometric Data (2020) [PDF] [En]


 
 
RSS
Начать новую тему   Ответить на тему    Торрент-трекер NNM-Club -> Научная и техническая литература -> Точные и естественные науки
Автор Сообщение
dark_elf2 ®
Релизер эксклюзива
Стаж: 17 лет 9 мес.
Сообщений: 3202
Ratio: 30.531
Поблагодарили: 299126
100%
ussr.gif
P. Grohs, M. Holler, A. Weinmann | Handbook of Variational Methods for Nonlinear Geometric Data (2020) [PDF] [En]
Автор: P. Grohs, M. Holler, A. Weinmann
Издательство: Springer
ISBN: 978-3-030-31350-0, 978-3-030-31351-7
Жанр: Математика

Формат: PDF
Качество: Обработанный скан
Иллюстрации: Цветные

Описание:
Эта книга охватывает различные современные направления исследований в контексте вариационных методов для нелинейных геометрических данных. Каждая глава написана ведущими специалистами в соответствующей дисциплине и содержит введение, обзор и описание современного состояния техник, применяющихся в ней.
Скриншоты:


Время раздачи: 24/7 (минимум до появления первых 3-5 скачавших)
[NNMClub.to]_Grohs P., Holler M., Weinmann A. (Eds.) - Handbook of Variational Methods for Nonlinear Geometric Data - 2020.pdf.torrent
 Торрент:   Зарегистрирован
 
Зарегистрируйтесь и скачайте торрент!
7 KB

Примагнититься
 Зарегистрирован:   01 Фев 2026 10:28:34
 Размер:   21.6 MB  (
 Рейтинг:    (Голосов: 8)
 Поблагодарили:   36
 Проверка:   Оформление проверено модератором 02 Фев 2026 21:37:03
Как cкачать  ·  Как раздать  ·  Правильно оформить  ·  Поднять ратио!  
Показать сообщения:   
Начать новую тему   Ответить на тему    Торрент-трекер NNM-Club -> Научная и техническая литература -> Точные и естественные науки Часовой пояс: GMT + 3
Страница 1 из 1