Классический форум-трекер
canvas not supported
Нас вместе: 4 260 426


Устойчивый к блокировкам VPN с высоким уровнем приватности

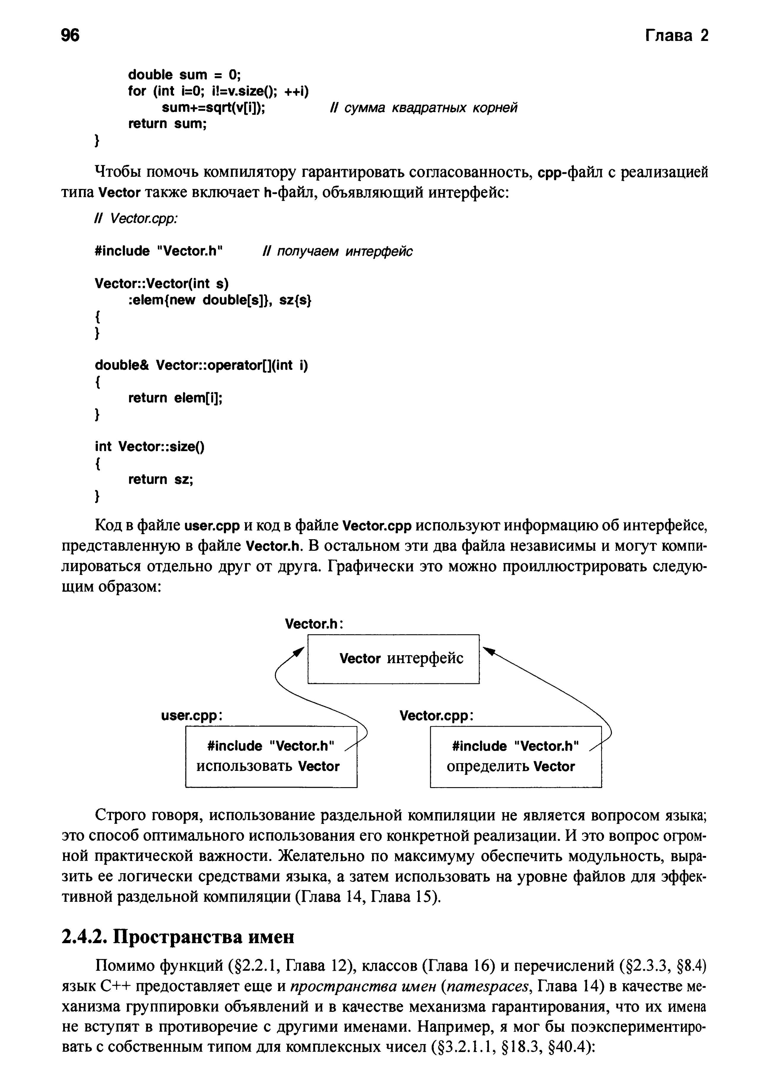
Б. Страуструп | C++11. Язык программирования C++. Четвертое издание (2024) [PDF, DJVU]


 
 
RSS
Начать новую тему   Ответить на тему    Торрент-трекер NNM-Club -> Компьютерная литература
Автор Сообщение
sinoptik500 ®

Online
Стаж: 9 лет 6 мес.
Сообщений: 4930
Ratio: 45.45
Поблагодарили: 253371
100%
Откуда: с рыбалки
Б. Страуструп | C++11. Язык программирования C++. Четвертое издание (2024) [PDF, DJVU]
Автор: Б. Страуструп
Издательство: БИНОМ-МЕД
ISBN: 978-5-6045724-6-7
Жанр: Компьютерная литература

Формат: PDF, DJVU
Качество: Обработанный скан
Иллюстрации: Черно-белые

Описание:
Книга представляет стандарт ISO/IEC 14882-2011 (называемый в обиходе C++11) и призвана помочь программистам быстро и доступно перейти от стандарта С++98 и любых других языков программирования к С++11. Традиционно, как и в предыдущих изданиях, автор демонстрирует свой «фирменный стиль» — эффективные подходы к решению разнообразных задач проектирования и программирования, демонстрация навыков программирования на С-совместимом ядре C++, объектно-ориентированный подход к созданию программных продуктов.

Четвертое издание «Язык программирования C++» предлагает содержательный пакет новшеств и ярко выраженную направленность на изучение техники написания качественного программного кода.

Книга адресована программистам, использующим в своей повседневной работе C++. Она также будет полезна преподавателям, студентам и всем, кто хочет ознакомиться с описанием языка «из первых рук».
Издание книги книги Бъерна Страуструпа «Язык программирования C++, 4-е издание» на русском языке посвящено памяти нашего товарища — Николая Николаевича Мартынова, великолепного автора, переводчика, редактора. Он не дожил до выхода переведенной им книги в свет, но его вклад в развитие «программистской среды» в России огромен и измеряется десятками тысяч книг, в издании которых он принял участие в разном качестве.
Скриншоты:


Время раздачи: с 09:00 до 21:00 (минимум до появления первых 3-5 скачавших)
[NNMClub.to]_Straustrup B. - YAzyik programmirovaniya C++. 4 izd. - 2024.torrent
 Торрент:   Зарегистрирован
 
Зарегистрируйтесь и скачайте торрент!
13.9 KB

Примагнититься
 Зарегистрирован:   08 Фев 2026 19:29:17
 Размер:   85.9 MB  (
 Рейтинг:   4.9 (Голосов: 31)
 Поблагодарили:   146
 Проверка:   Оформление проверено модератором 08 Фев 2026 20:37:32
Как cкачать  ·  Как раздать  ·  Правильно оформить  ·  Поднять ратио!  
Показать сообщения:   
Начать новую тему   Ответить на тему    Торрент-трекер NNM-Club -> Компьютерная литература Часовой пояс: GMT + 3
Страница 1 из 1