Классический форум-трекер
canvas not supported
Нас вместе: 4 261 184


Устойчивый к блокировкам VPN с высоким уровнем приватности

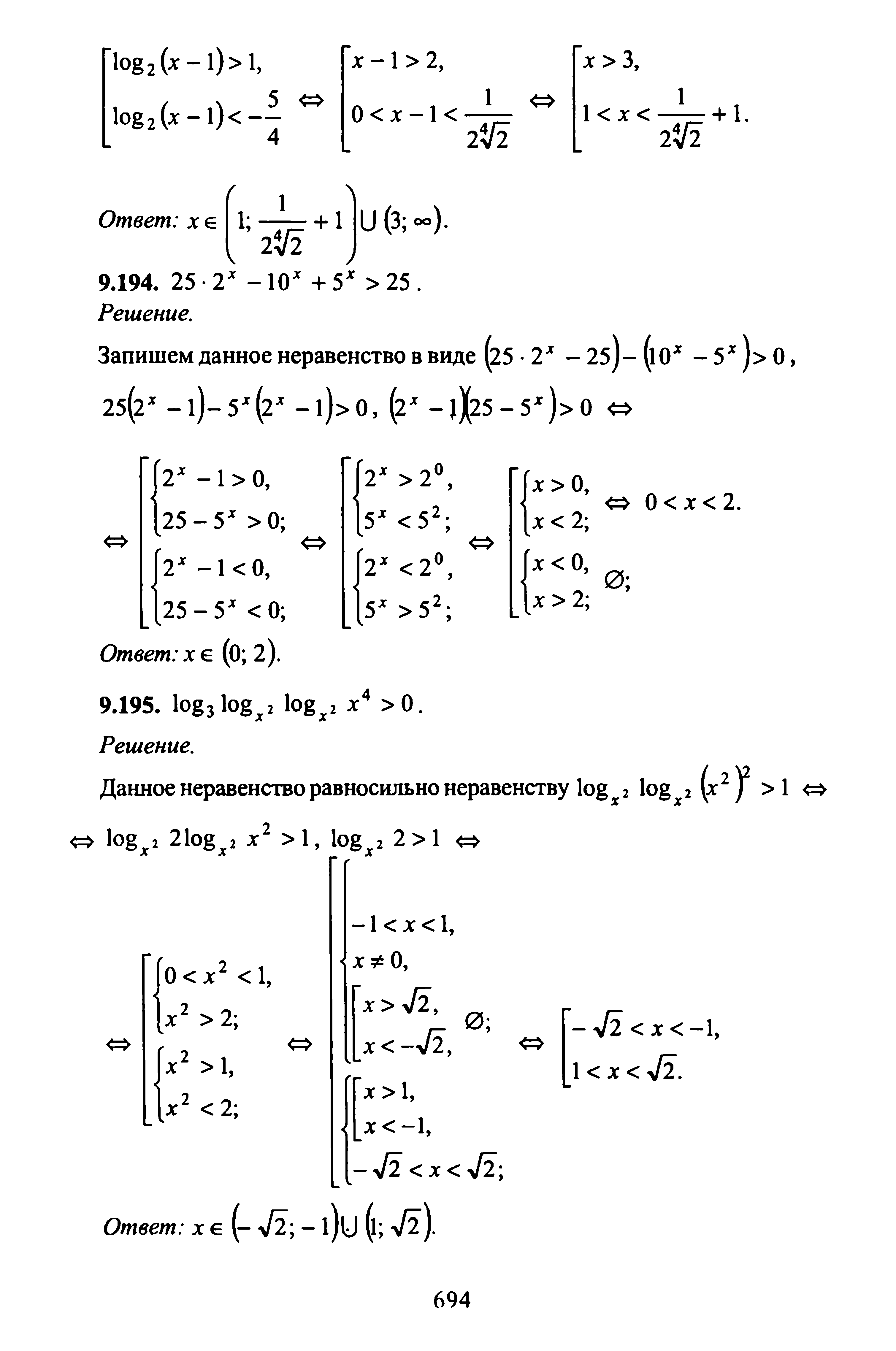
М.И.Сканави (ред.) | Полный сборник решений задач по математике для поступающих в вузы [2 книги из 3] (2012) [DJVU]


 
 
RSS
Начать новую тему   Ответить на тему    Торрент-трекер NNM-Club -> Научная и техническая литература -> Учебники
Автор Сообщение
dark_elf2 ®
Релизер эксклюзива

Online
Стаж: 17 лет 8 мес.
Сообщений: 3170
Ratio: 30.279
Поблагодарили: 295368
100%
ussr.gif
М.И.Сканави (ред.) | Полный сборник решений задач по математике для поступающих в вузы [2 книги из 3] (2012) [DJVU]
Автор: М.И.Сканави (ред.)
Издательство: Мир и образование, Астрель
Жанр: Математика

Формат: DJVU
Качество: Обработанный скан
Иллюстрации: Черно-белые

Описание:
В помощь абитуриентам публикуется полный сборник задач по математике с решениями под редакцией М.И. Сканави по всем группам сложности.
Условия и нумерация всех задач полностью соответствуют изданию «Сборник задач по математике для поступающих в вузы» под редакцией М.И. Сканави, 6-е издание (М.: Оникс, Мир и Образование).
Пособия помогут при подготовке к выпускным экзаменам в средней школе, сдаче ЕГЭ и вступительным экзаменам в вуз. Книги адресованы школьникам старших классов, абитуриентам, репетиторам и преподавателям.
Ищется решебник для группы В.
Скриншоты:


Время раздачи: 24/7 (минимум до появления первых 3-5 скачавших)
[NNMClub.to]_Skanavi M.I. (red.) - Polnyiy sbornik resheniy zadach po matematike dlya postupayushchih v vuzyi - 2012.torrent
 Торрент:   Зарегистрирован
 
Зарегистрируйтесь и скачайте торрент!
12 KB

Примагнититься
 Зарегистрирован:   16 Фев 2026 06:51:12
 Размер:   37.3 MB  (
 Рейтинг:   4.7 (Голосов: 29)
 Поблагодарили:   115
 Проверка:   Оформление проверено модератором 17 Фев 2026 23:55:16
Как cкачать  ·  Как раздать  ·  Правильно оформить  ·  Поднять ратио!  
Показать сообщения:   
Начать новую тему   Ответить на тему    Торрент-трекер NNM-Club -> Научная и техническая литература -> Учебники Часовой пояс: GMT + 3
Страница 1 из 1